探索第二滑点交易与异步流动性:如何降低交易门槛并理解滑点成本
tpwallet 2025年2月23日 11:16:09 tpwallet最新版官网 161
滑点交易的独特特性
在滑点交易中,那些运用精密数学公式进行报价的系统,使得代币缺乏价格支撑。这一特点使得同一笔交易中,交易量的大小各异,成交价格也随之变化。简单来说,小额交易时价格相对稳定,而大额交易则可能导致价格剧烈波动。这种现象在现实交易中屡见不鲜,投资者在交易时需时刻保持警惕。

异步流动性的本质

智能合约交易与传统的买卖方式有所区别,可以将其视为两个分开的、价格不一且时间不同的智能合约交易,即所谓的异步流动性。尽管许多人使用智能合约进行买卖,价格波动仍受到一定程度的限制,但由于其类似独立交易的特点,个人需要自行承担因交易量变化而引起的市场价格波动的风险。举例来说,当个人大量购买或出售代币时,价格的波动可能会对其收益产生显著影响。


Bancor的双池设计
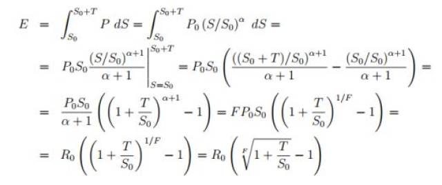
Bancor的设计包含两个池,其中connector扮演着储备金池的角色,而smart token则构成了代币池。当用户将代币卖给智能合约时,会用到储备金池的资金。如果smart token的总价值标记为SP,储备金率是F,那么储备金的总价值R就可以表示为R等于F乘以SP。当购买量极小,仅dS时,需缴纳PdS作为储备金,这一点揭示了双池间资金流动的微妙联系。

购买代币的成本计算
用户购买T个代币后,代币总供应量上升至T个,为此需支付E元费用,费用计算依据积分公式。观察价格公式可知,供应量提升,价格不断攀升。曲线形态的决定因素是储备率CW,通过调整CW,人们可以设定曲线的具体形状。比如,不同项目依据其策略调整储备率,曲线的走势也会各异。
EOS内存问题的困扰

EOS每秒处理0.5个区块,系统内账户资料和智能合约执行情况实时保存在内存中,这导致内存资源被长期占用。一旦RAM空间不够,某些交易和操作便无法进行。例如,即便账户中有足够的EOS,若RAM不足,就必须购买更多RAM才能部署智能合约。目前,RAM容量已扩大,发文时总量达到了89.4G。

Bancor曲线对市场的影响

观察Bancor曲线的设定,价格波动若趋于平稳,所需的储备率便会上升。这导致项目方需将大量资金锁定在合约中,以供用户兑换,这对项目方来说并不利。在eos生态系统中,ram运用了Bancor的中继算法,这或许无法确保其生态的持续和稳定发展,甚至可能使之变成投资者的温床。这种市场难以达到成熟完善的程度,Bancor的创立者也有所察觉。他们在白皮书中指出,该算法定价市场可能存在套利的机会。

大家对未来能否有更出色的算法解决这些问题有何看法?欢迎在评论区发表意见。若觉得文章有价值,不妨点赞并转发分享!

